Непростая задача про диагональ квадрата — Журна...
Сторона квадрата дорівнює 17 см.Обчисли діагона...
Найти диагональ квадрата - YouTube
1)Дан квадрат с диагональю 4 корень из 2. Найти...
Геометрия Найдите площадь квадрата, диагональ к...
Найдите диагональ квадрата, если его сторона ра...
Яке з наведених тверджень неправильне 1 діагона...
44. Дан квадрат, сторона которого 1м, диагональ...
Задача 3. Знайдіть діагональ квадрата, сторона ...
Все формулы стороны квадрата
Сторона квадрата | Calculators.vip
Сторона квадрата и формула онлайн.
Діагональ квадрата дорівнює 6√2см.Знайдіть стор...
диагональ квадрата равна 10 см. найдите площадь...
9. Диагональ квадрата перпендикулярна к некотор...
Як знайти сторону квадрата через його діагональ...
Сторона квадрата дорівнює 4 см. Знайдіть площу ...
Як знайти діагональ квадрата? Формула діагоналі...
Геометрия Найдите диагональ квадрата со стороно...
Обчисли площу і сторону квадрата, якщо діагонал...
сторона квадрата равна 7√2.найдите диагональ эт...
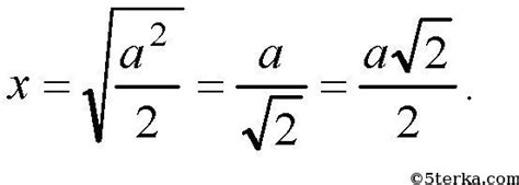
8. Диагональ квадрата а. Чему равна сторона ква...
найдите диагональ квадрата со стороной а - Школ...
Найдите диагональ квадрата ABCD - Школьные Знан...
з поясненням!! прошу!! Діагональ квадрата дорів...
как найти сторону квадрата? напишите формулу пл...
Диагональ квадрата | Онлайн калькулятор
Сторона квадрата равна 8 см. Вычисли диагональ ...