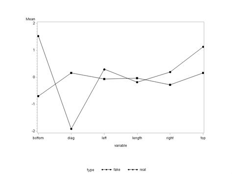
7.2.5 - Profile Plots | STAT 505
Ismét "kivonult" Ferihegyről a SAS - BUD flyer
Page 4 | rainbow 1080P, 2K, 4K, 5K HD wallpaper...
SAS Archives • LITFL
SAS First class lunch | Served lunch during the...
In SAS Enterprise Miner, how can I tell the cat...
HD wallpaper: Metro 2033 illustration, USSR, Ru...
무료 이미지 : 눈, 하늘, 공항, 비행기, 평면, 항...
Language Point - Sas | Italianostranieri
Внешность — Warface
SAS (langage) — Wikipédia
Sas statek wojenny Durban Darmowe zdjęcie - Pub...
[調査]SAS統計ソフトについて - Akira's Tech Notes
Airline, Airplane, Commercial, Aircraft, airpla...
Boeing 747 engines | 1979, over Greenland - SAS...
Free stock photo of germany, grave, sas
SAS GRAPH: align axis for 2 plots with lattice ...
SAS_7909 | Construction continues on the Second...
SAS Team Siege by tonyhamz on DeviantArt
Was ist OpenStack?
Uniform Carven 1965-1971 | SAS Uniforms. Air ho...
HDD: performance differences between 7.2k SATA ...
2013 Social Media Trends and Your Business - He...
How to install several hard-drives to Tyan S702...
Page 2 | spec ops 1080P, 2K, 4K, 5K HD wallpape...
SAS - Grafik Batang
Was ist Blue-Green Deployment?
» Saab 340 SAS
SAS Boeing 747-B | SAS Boeing 747-B Huge Viking...
List of Scandinavian Airlines destinations - Wi...
Economy class 1960's-to 1970's | SAS Museet | F...
Ultimate Collection Of Rare Historical Photos. ...
David Stirling - Wikipedia
2.5 - Examples in SAS/R: Dice Rolls & Tomato | ...
Bombardier CRJ-900 ‘EI-FPR’ SAS Scandinavian Ai...
무료 이미지 : 비행, 울타리, 목재, 독수리, 장식,...
11.4 - Interpretation of the Principal Componen...
File:SAS Supermarket - interior- 4.jpg - Wikime...
SAS sleeping onboard a DC-6 | 1950'S | SAS Muse...
List of SAS operations - Wikipedia
» A380 SAS
Gratis foto: Pasta, Fyra Ostar, Italiensk Sås -...
1920x1080px | free download | HD wallpaper: The...
r - Why does SAS PROC GLIMMIX give me VERY diff...
SAS_7610 | Workers completed tunneling for the ...
Scandinavian Airlines System – Wikipedia, wolna...
desarrollo defensa y tecnologia belica: Servici...
Canadair CRJ-900 | ES-ACI, c/n 15074 ex Air Nos...
Counter Terrorist Units · Rainbow Six Siege · R...
SAS Logo Animation Concept C on Vimeo
Bob McKerrow - Wayfarer: NZ involvement in tort...
SSD - NVMe、SAS、SATA 介面 ~ 不自量力 の Weithenn
SAS & KSK | dhcwargamesblog
SAS investiert eine Milliarde US-Dollar in KI
3.1 - Viewing the Contents of SAS Libraries | S...
Diemaco C8 CQB - UK MoD L119A1 Carbine - Pagina 4
9.5 - Step 2: Test for treatment by time intera...
Convair CV-240 – Wikipedie
View During Landing Free Stock Photo - Public D...
SAS DC-8-33 | SAS DC-8-33. Interior of cabin. S...
Will US Follow UK Lead In Case On Copyright And...
Second Avenue Subway Groundbreaking - Home - Ne...
I TRAVESTIMENTI DELLE "FORZE SPECIALI" BRITISH ...
32.1 - Proc SQL Basics | STAT 482
File:French sas north africa 1943.jpg - Wikimed...
Certificado Canopy - Un Sanjuanino en Rio Cuarto
LN-RPB Boeing 737-600 SAS | LN-RPB Boeing 737-6...
SAS Car rental | A Volvo-advert for SAS Car Ren...
«Морские котики» против русского «спецназа»: ка...
R vs. Python vs. SAS – Linguaggi di programmazi...
OY-KAY Airbus A320-232 (cn 2856) Scandinavian A...
Scandinavian Airlines - Wikipedia
Los tres grandes beneficios de la analítica, se...
SAS Boeing 747 | SAS Boeing 747 Combi Magnus Vi...
Recursos Santa Teresa: Sello de Calidad Naciona...
Die 15 interessantesten KI-Start-ups
graphics - Sankey bar graphs in R - Stack Overflow
File:G3 SAS 001.jpg - Wikimedia Commons
20.2 - Issues with Reading Fixed-Field Data | S...
If social media is the new punk rock, I guess I...
Category:SE-DBL (aircraft) - Wikimedia Commons
Convair CV-440 of the SAS. | un-edited-Not part...
dell poweredge - Dual R710/MD3400 SAS Connectiv...
Running Stats Softwares on Clouds – DECISION STATS
michael pollak » who dares wins
ssd - Disconnect the SAS on T7500 - Super User
Bombardier CRJ-1000 | EC-MLC, Emilio Serratosa,...