Математика 6 класс мерзляк 15 – Telegraph
гдз математика Мерзляк 6 клас
Математика 6 класс мерзляк 14 – Telegraph
Мерзляк 6 Класс Фото – Telegraph
ГДЗ Математика 6 клас Мерзляк 2023
Учебник математике 6 кл мерзляк – Telegraph
№126. Математика 6 класс Мерзляк. - YouTube
Гдз математика 6 класс мерзляк скачать pdf | Лу...
Номер 1196 Математика 6 класс Мерзляк учебник о...
Вправа 1619 гдз 6 клас математика Істер
Номер 919 Математика 6 класс Мерзляк учебник от...
Математика (Мерзляк) 6 клас 2023 НУШ - СуперШкола
Математика 6 класс Мерзляк 2014 учебник
Математика (Мерзляк) 6 клас 2014 by kreidaros -...
Номер 616 - ГДЗ по математике 6 класс Мерзляк, ...
ОТВЕТЫ на КР-06 Математика 6 Мерзляк (2 варианта)
Номер №6 - ГДЗ по Математике 6 класс: Мерзляк А.Г.
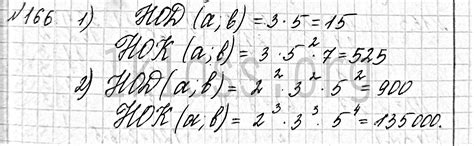
Номер 166 Математика 6 класс Мерзляк учебник от...
Математика мерзляк 6 752 – Telegraph
Мерзляк 6 класс математика 773 – Telegraph
Математика 6 класс мерзляк учебник номер 916 – ...
ГДЗ номер 818 математика 6 класс Мерзляк, Полон...
Номер 479 Математика 6 класс Мерзляк учебник от...
Математика 6 клас Мерзляк ГДЗ
ГДЗ Збірник задач математика 6 клас Мерзляк [20...
Математика. 6 класс. Учебник. Мерзляк, Полонски...
ГДЗ Математика 6 клас Мерзляк 2014 by kreidaros...
Збірник Задач З Математики 6 Клас Мерзляк - kyh...
Скачати або Онлайн Математика 6 клас. Мерзляк
211 - Математика 6 класс Мерзляк - YouTube
Математика. 6 класс. Дидактические материалы. М...