Solved Solve y” – 6y' + 18y = 0, y(0) = -1, y'(...
Solved The equation y'' - y' - 6y = 0 has the g...
Solved Find the solution of with y(0) = 2 and y...
𝑦′′−6𝑦′+9𝑦=𝑡^2 𝑒^3𝑡, 𝑦(0)=2, 𝑦′ (0)=6 - YouTube
(1 point) A. Find y in terms of x | Chegg.com
Differential Equations Solved Examples: Find th...
Solved 7. Consider the equation y" – y = 0. (6)...
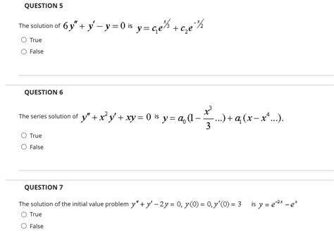
Solved QUESTION 5 The solution of 6y" + y'- y =...
Solved (1 point) Find the solution of with y(0)...
How many solutions does y 0 and y =- 6 has? - b...
Solved (2) y6−y=0 | Chegg.com
Solved Find the solution to y''-3y'-10y=0,y(0)=...
Solved y(0) = 6, y(0) = -2 y" - 54 – 24y=sin(9t...
Solved Find y as a function of x if y(0) = 6, y...
Solved Find y' if y= y' = 0 6 √x | Chegg.com
Solved 5. y′−2y=1−t;y(0)=4 6. y′′+y=1;y(0)=6,y′...
Solved Find the solution of with y(0) = 1 and y...
Solved Solve the following IVP: y''+6y'+9y=0, y...
SOLVED: Using Laplace transform, solve the foll...
Solved y′′+2y′+y=0,y′(0)=6,y(1)=8 y(t)= | Chegg...
Solved 6. y''+3y' +2y=u2(t);y(0)=6,y'(0)=6 | Ch...
Solved the conditions are given as y(0)=1,y˙(0)...
Solved a. y′′+12y′+36y=0,y(0)=6,y′(0)=−6 - Ans:...
* solve y"+4y=0, y(0) = 1, y'(0) = 6 using Lapl...
Solved For the differential equation y" – y' – ...
Solved Find the solution ofy''-10y'+25y=16e7twi...
Solved Solve the given initial-value problem. |...
Solved Solve y" + 4y' + 20y = 0, y(0) = 0, y'(0...
Solved Solve:y''-5y''+8y'+96y=0y(0)=0,y'(0)=6,y...
How to Solve a Differential Equation with Serie...
Solved Solve 1) y + y - 6y = 0 y(0) = 2 ; y(0) ...
Solved (10 points) Solve the initial-value pr...
Solved: What is the sign of -4x· y· 0^6 when x ...
Solved Solve y'+y=6et,y(0)=6.The solution of y'...
y= 2x -6 , y= 0 solve - Brainly.in