Сапонины - Химия
Химическая классификация сапонинов:
Сапонины. Строение сапонинов - презентация онлайн
Сапонины (С5H8)6 - презентация онлайн
Cапонины (от лат. sapo, saponis мыло) - презент...
Презентация на тему: САПОНИНЫ – природные соеди...
شرکت داروسازی ساپونین ایران |Saponine Pharmaceu...
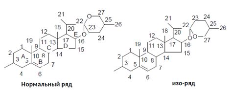
Строение сапонинов, классификация
1.Сапонины. Понятие. Классификация.
О компании
محصولات – شرکت داروسازی ساپونین ایران |Saponine...
Сапонины стероидные
Сапонины (С5H8)6 - online presentation
What Are Saponins? - Botany-World