DMAE Bitartrate 150мг (ДМАЕ) Life Extension, 20...
LIFE Extension ДМАЭ 150 мг, DMAE Bitartrate 150...
Битартрат ДМАЭ (DMAE) Bitartrate 150 mg - заказ...
Купить Chikalab DMAE (ДМАЭ) 60 капс. Bombbar пр...
GraFLab, Добавка к пище Dmae, ДМАЭ битартрат, 6...
Диметиламиноэтанол ДМАЕ купить в Москве | DMAE ...
ДМАЭ/DMAE bitartrate купить: цена, отзывы, инст...
Диметиламиноэтанол битартрат (ДМАЭ/DMAE)
Life Extension, DMAE Bitartrate, ДМАЭ битартрат...
Source Naturals (Сорс Начэралс)
DMAE (dimethylaminoethanol bitartrate)
Холин Битартрат с Витамином В4 900 мг Dr. Zubar...
2-Dimethylaminoethanol (+)-bitartrate salt | CA...
DMAE (ДМАЕ) в порошке купить в Москве и СПБ: це...
ДМАЭ Битартрат LIFE EXTENSION DMAE Bitartrate 1...
Диметиламиноэтанол DMAE 100 мг Bluebonnet Nutri...
DMAE (50 g) — «Russian Peptide»
2-Dimethylaminoethanol (+)-bitartrate salt 5988...
Dimethylaminoethanol Bitartrate, Powder, 99%, S...
Пищевая добавка ДМАЭ Битартрат 150 мг 200 veget...
GraFLab, Dmae, ДМАЭ битартрат, 600 мг, 2 шт по ...
Противогистаминные препараты
ДМАЭ битартрат в косметике – применение DMAE ди...
2-Dimethylaminoethanol (+)-bitartrate salt | Cy...
Холин Битартрат 500 мг, бады / витамины b 4 / b...
диметиламиноэтанол что это такое
БАД Source Naturals DMAE 351 Mg 200 capsules - ...
2-Диметиламиноэтанол (+)-битартрат соль
Ноотроп ДМАЭ, ДМАЕ, DMAE, ДМАЭ битартрат, 60 ка...
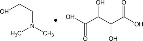
Figure 1, [Dimethylaminoethanol Bitartrate (CAS...